亮度怎么算?亮度的计算公式是什么?以下是关于亮度计算公式的详细解析,结合物理定义、参数意义及实际应用场景分条阐述:

1.基本表达式
亮度的物理定义为:单位投影面积在特定方向上的发光强度,公式为: L=d2Φ/(dA・cosθ・dΩ)
其中:
L:亮度,单位坎德拉每平方米(cd/m²);
dΦ:光束元在立体角dΩ内传输的光通量(单位:流明,lm);
dA:光束截面积(单位:平方米,m²);
θ:光束截面法线与观察方向的夹角。
2 参数解析
光通量(dΦ):反映人眼感知的光功率,需结合光谱响应函数计算(如明视觉下最大光效683 lm/W对应555 nm波长)。
立体角(dΩ):描述光束发散范围,单位为球面度(sr),
1 sr表示单位半径球面上1 m²的对应角度。
投影面积修正(cosθ):当观察方向与表面法线成夹角时,实际可见面积按余弦规律缩减。
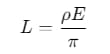
1.均匀漫反射表面
若表面为理想漫反射体(如白纸),亮度与照度关系简化为:

其中ρ为表面反射率,E为照度(单位:lx)。例如,反射率0.8的白纸在500 lx照度下亮度约为127 cd/m²。
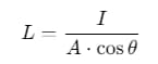
2. 点光源近似
对于远距离点光源(如LED),亮度公式退化为:

其中I为发光强度(单位:cd),适用于定向光源的亮度计算。
3. 光度学中的亮度计算
引入人眼光谱响应函数V(λ)后,亮度可表示为:
其中K=683 lm/W为最大光谱光视效能,适用于彩色光源的亮度评估。
1. 显示屏亮度控制
LED屏幕亮度计算式为:亮度= 像素面积/光强
例如,单个LED光强50 mcd(0.05 cd),像素面积1 mm²时,亮度为50,000 cd/m²。通过PWM调光可动态调节亮度。
2. 道路照明设计
沥青路面亮度需满足安全标准(如1 cd/m²),通过调整灯具光强和安装高度(如10 m高灯具需约10,000 cd光强)实现均匀亮度分布。
3. 摄影与影视照明
摄像机对亮度敏感度遵循对数关系,拍摄场景需控制亮度比(如主光亮度200 cd/m²,辅光100 cd/m²)以避免过曝或噪点。
1. 仪器选择
亮度计:直接测量cd/m²,适用于显示屏、灯具表面;
光谱辐射计:结合V(λ)函数计算亮度,用于复杂光谱光源。
2. 误差控制
测量时需保持探头与表面垂直(θ=0°),否则需余弦修正;
环境光干扰需屏蔽,如使用暗室或遮光罩。
3. 动态亮度计算
智能照明系统中,实时亮度可通过光传感器反馈调节,公式为:

其中τ为光源响应时间,用于动态场景适配。