2000年,CIE提出了一个新的色彩评价公式,称为 CIE2000色差公式,这也是目前为止最新的色差公式。本文主要介绍了CIE DE2000 色差公式的提出和计算方法。

为了进一步改善工业色差评价的视觉一致性, CIE 专门成立了工业色差评价的色相和明度相关修正技术委员会TC1-47 (Hue and Lightness Dependent Correction to Industrial Colour Difference evalsuation),经过该技术委员会对现有色差公式和视觉评价数据的分析与测试,在2000年提出了一个新的色彩评价公式,并于2001年得到了国际照明委员会的推荐,称为 CIE2000色差公式,简称 CIEDE2000。
由于人眼与色差计在色度图中不同位置的色彩评估方法和形状上的差异,引起了许多色彩评定时测量数据与目测结论不匹配的问题, CIE 2000 色差计算公式的提出,就是为了解决这个问题和难题。
CIE 2000 色差公式并不是创建了一个新的人眼辨别临界区均匀的色空间,而是重新定义了色差计算方法,使得在整个 CIE Lab (L*a*b*色空间)中,色差计算值与人眼评估更为接近。新的色差公式在原色差计算公式基础上,另外特别引用了三个新的重量系数SL,Sc和 S,分别代表了在亮度ΔL*、饱和度ΔC*和色调ΔH*方向上的差异程度。显然,这三个重量系数与亮度L*、饱和度C*及色调角 h 有关系。因此,新计算公式综合了在 CIE Lab (L*a*b*色空间)中人眼的辨别临界区的特征,并为与人眼评估密切相关的三个参数:1)饱和度、2)色调及3)亮度独立设置了修正系数。
两个颜色样品的 CIE DE2000 色差按照计算。带上划线的量值,表示两个色差样品该量值的平均值。
1. 计算L',a'和b如下:

式中G的计算如下:

式中:
L*,a*,b*以及C*计算方法如下:


2. 计算C''和h'如下:

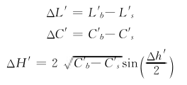
3. 计算两个颜色样品的ΔL'、ΔC'和ΔH'如下:

式中:

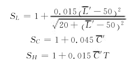
4. 计算加权函数 SL,Sc,SH[如下:

式中T的计算如下:

5. 计算旋转函数Rr如下:

式中ΔΘ、Rc的计算如下:

式中:

6. 总色差计算
CIE DE2000 总色差的计算方法如下:

式中:
kL,kc,kH——实验条件和目视评价标准条件偏离的校正因子。在标准条件下,kL,kc,kn都等于1;当实验条件和标准条件不同时,kL,kc,kH的取值方法见 CIE 101:1993。
注: CIE DE2000 色差公式适用于对人眼张角大于4°的样品,应使用下脚标10。本标准与 CIE 142:2001保持一致,略去下脚标10。