为获得视觉上较均匀的颜色空间,CIE推荐CIE1976(L*a*b*)色空间和CIE1976(L"u*v*)色空间,并分别规定了色差计算方法。本文主要介绍了CIE1976(L*u*v*)色空间.。

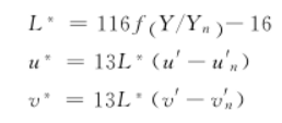
近似均匀的CIELUV三维色空间是由直角坐标L*,u*,v*构成,L*,u*,v*由下列式子确定:

式中:
Y、u'、v':描述色刺激的量。计算 u'、v'的表达式如下:
Y、u'、v':给定的白物体色刺激,一般是指 CIE 照明体照射在完全漫反射体上,再经完全漫反射体反射到观察者眼中的色刺激,在数值上即为照明体的色度值。
CIE 照明体在 CIE 1931 标准色度系统中的u'n.和v'n 见表1.

CIE 照明体在 CIE 1964 标准色度系统中的u'n 10和v'n 10见表2。


在 CIELUV色空间中和明度、饱和度、彩度、色调近似相关的量和计算公式分别是:
1) CIE 1976 明度L',计算方法如下:

2)CIE 1976 u,v饱和度(简称 CIELUV 饱和度)Suv,计算方法如下:
3)CIE 1976 u,v彩度(简称 CIELUV 彩度)C*uv,计算方法如下:

4)CIE 1976 u,v色调角(简称 CIELUV色调角)huv,计算方法如下:

1) 两个颜色样品的 CIE 1976 u,v色差(简称 CIELUV 色差)ΔE计算方法如下:
式中:
ΔL、Δu*、Δu*计算方法参考下列式子,并分别用u*、v* 替代a*、b";
2) CIE 1976 u,v色调差(简称 CIELUV 色调差)ΔH计算方法如下:
式中:
ΔH与Δhuv的正负符号相同。
